Al margen un sello con el Escudo Nacional, que dice: Estados Unidos Mexicanos.- Secretaría de Hacienda y Crédito Público.
REGLAS PARA EL CAPITAL MINIMO DE GARANTIA DE LAS INSTITUCIONES DE SEGUROS
Conforme al artículo 60 de la Ley General de Instituciones y Sociedades Mutualistas de Seguros, corresponde a la Secretaría de Hacienda y Crédito Público fijar los procedimientos de cálculo que deberán aplicar las instituciones de seguros para determinar el capital mínimo de garantía con el que deben contar, sin perjuicio de mantener el capital mínimo pagado para cada operación o ramo autorizado, a que se refiere el artículo 29 fracción I de la Ley invocada.
A través de una adecuada capitalización de las instituciones de seguros, se protege a los asegurados, así como a los beneficiarios de que estos intermediarios financieros incurran en una posible insolvencia.
Como parte de los recursos propios de las aseguradoras, el capital mínimo de garantía fortalece su patrimonio y su desarrollo a fin de que, de acuerdo con el volumen de sus operaciones, los distintos tipos de riesgos asumidos, la tendencia siniestral, sus prácticas de reaseguro y la composición de sus inversiones, se mantengan de manera permanente en niveles suficientes para hacer frente a las variaciones adversas por lo que respecta al cumplimiento de las obligaciones que contraigan con los asegurados, preservando su viabilidad financiera y de esa manera se consolide su estabilidad y seguridad patrimonial.
Esta Secretaría y la Comisión Nacional de Seguros y Fianzas, en cumplimiento a lo señalado en el Plan Nacional de Desarrollo han considerado conveniente modernizar la regulación reglamentaria del capital mínimo de garantía de las instituciones de seguros con el objeto de mantener en mejores condiciones su desarrollo y reducir los posibles desequilibrios económico-financieros que se pudieran producir en las aseguradoras, derivados de su operación. Con este propósito, se adecuaron los criterios de solvencia al nuevo entorno del sector asegurador y con ello se reforzó la protección del público usuario del seguro.
En ese sentido, se logró dar un manejo más técnico a las operaciones y ramos de seguros, para la determinación del capital mínimo de garantía, dando un tratamiento específico a los seguros de pensiones, derivados de las leyes de seguridad social, a los ramos de salud, agrícola y de animales, así como al de crédito. De esta manera se redujo la carga financiera que implicaba hacer una globalización de los ramos, como sucedía en la operación de daños, lo cual también se evitó en las operaciones de personas al separar pensiones y salud. A las instituciones de seguros facultadas para practicar exclusivamente el reaseguro, se les fija el 50% el requerimiento del capital mínimo de garantía exigido.
De acuerdo a las presentes Reglas, el capital mínimo de garantía de las instituciones de seguros se integra fundamentalmente por los siguientes elementos: el requerimiento bruto de solvencia y las deducciones de carácter patrimonial. Asimismo se fija un ponderador por calidad de reaseguro, en congruencia con las disposiciones de las Reglas para el Registro General de Reaseguradoras Extranjeras para Tomar Reaseguro y Reafianzamiento del País.
Continuando con el logro del manejo más técnico de las operaciones y ramos de los seguros para la determinación del capital mínimo de garantía de las instituciones de seguros, en las presentes Reglas se actualizan los porcentajes de los requerimientos sobre la base de primas y siniestros de la operación de accidentes y enfermedades y de los ramos de salud, agrícola y de animales, automóviles, crédito, así como para los demás ramos de la operación de daños. La señalada actualización se funda en la estimación de densidades de los cocientes de siniestros brutos y primas emitidas del sector asegurador, durante los últimos veinticinco años (1973-1998). De igual forma, se incorpora dentro del requerimiento bruto de solvencia el requerimiento de terremoto, a efecto de que sea más adecuado a la naturaleza de los riesgos que se operan, por ello, el cálculo de la pérdida máxima probable se estipula de acuerdo a los riesgos asumidos por cada una de las instituciones y cuya determinación se realiza con bases técnicas que en forma precisa toman en cuenta las características propias de cada riesgo y proporcionan una medición más exacta.
Asimismo, dentro del requerimiento para las instituciones que operan los seguros de pensiones, derivados de las leyes de seguridad social se incorpora la exigencia derivada del posible descalce entre activos y pasivos, cuyo objetivo es fortalecer su patrimonio y desarrollo, a fin de que, de acuerdo con el volumen de sus beneficios básicos y adicionales, la composición de sus inversiones, la temporalidad de sus instrumentos de inversión, la tasa de rendimiento pactada y los riesgos de reinversión, se mantengan de manera permanente en niveles suficientes para hacer frente al cumplimiento de las obligaciones que contraigan con los pensionados, preservando su viabilidad financiera. Para tal efecto, en las presentes modificaciones se incluye la mecánica para la valuación de los activos y pasivos señalados.
Igualmente, se establecen como deducciones del capital mínimo de garantía, el saldo que reporte al cierre de cada trimestre la reserva de previsión correspondiente a cada una de las operaciones o ramos; el saldo de la propia reserva en los seguros de pensiones, derivados de las leyes de seguridad social, la reserva para fluctuación de inversiones adicional en la proporción que se indica, así como los saldos de la reserva de fluctuación de inversiones básicas de beneficios básicos y la de beneficios adicionales; el saldo de la reserva para riesgos catastróficos y el saldo ajustado de las coberturas de exceso de pérdida, así como el margen excedente del ramo de terremoto, estableciéndose para estos últimos conceptos los procedimientos de cálculo.
Por otra parte, las Reglas establecen que las instituciones de seguros deben mantener invertidos, en todo momento, los activos computables al capital mínimo de garantía, de conformidad con lo dispuesto en el artículo 61 de la Ley General de Instituciones y Sociedades Mutualistas de Seguros y que dichos activos serán adicionales a los que se destinen para la cobertura de las reservas técnicas y de otros pasivos de las instituciones de seguros, debiendo observar los límites de inversión que se fijan. Para efectos de las limitantes aplicables se precisan los supuestos de la existencia de nexos patrimoniales con las instituciones de seguros. Lo anterior, tiene por objeto preservar la solvencia y liquidez de las instituciones de seguros, a fin de orientar el fortalecimiento de sus recursos patrimoniales comprometidos al debido cumplimiento de las obligaciones que contraigan.
De igual forma, en las presentes Reglas se establecen los procedimientos aplicables, en caso de que se detecten faltantes en la cobertura del capital mínimo de garantía, así como lo concerniente a la imposición de sanciones, en este sentido, se establece que para la aplicación del factor que irá de 1 hasta 1.75 veces la tasa de interés aplicable, la Comisión Nacional de Seguros y Fianzas deberá tomar en cuenta las condiciones e intención del infractor, así como la importancia de la infracción y la conveniencia de evitar prácticas tendentes a contravenir las disposiciones legales aplicables a las instituciones de seguros.
Por su parte, las instituciones de seguros autorizadas al manejo de los seguros de pensiones, derivados de las leyes de seguridad social, para calcular su capital mínimo de garantía, además de apegarse a lo previsto en el Título Quinto de las Reglas de Operación de los Seguros de Pensiones, derivados de las Leyes de Seguridad Social, deberán observar lo dispuesto en las presentes Reglas.
Finalmente, se dan a conocer los requisitos de operación que deben reunir las sociedades inmobiliarias en las que sean accionistas las instituciones de seguros.
En virtud de lo anterior, y después de escuchar la opinión de la Comisión Nacional de Seguros y Fianzas, con fundamento y considerando lo previsto por los artículos 31 fracción VIII de la Ley Orgánica de la Administración Pública Federal, así como 2o., 33-B, 35 fracción II, 57, segundo párrafo, 59, 60, 61, 76 y 107 de la Ley General de Instituciones y Sociedades Mutualistas de Seguros y en ejercicio de las atribuciones que me confiere la fracción XXXIV del artículo 6o. del Reglamento Interior de la Secretaría de Hacienda y Crédito Público, he tenido a bien expedir las siguientes:
REGLAS PARA EL CAPITAL MINIMO DE GARANTIA DE LAS INSTITUCIONES DE SEGUROS
TITULO PRIMERO DISPOSICIONES GENERALES
CAPITULO UNICO
PRIMERA.- Las instituciones de seguros deberán determinar y mantener, en todo momento, el capital mínimo de garantía (CMG) que establece el artículo 60 de la Ley General de Instituciones y Sociedades Mutualistas de Seguros, de acuerdo a los procedimientos de cálculo que se fijan en las presentes Reglas.
SEGUNDA.- La Secretaría de Hacienda y Crédito Público oyendo la opinión de la Comisión Nacional de Seguros y Fianzas, podrá modificar los procedimientos de cálculo a que se refieren las presentes Reglas y las instituciones de seguros estarán obligadas a determinar su capital mínimo de garantía conforme a las mismas, a partir del trimestre que esta Secretaría indique.
La Secretaría de Hacienda y Crédito Público será el órgano competente para interpretar, aplicar, resolver y modificar, para efectos administrativos todo lo relacionado con las presentes Reglas.
TERCERA.- Dentro de los veinte días naturales posteriores al cierre de los trimestres que concluyen en los meses de marzo, junio y septiembre y dentro de los treinta días naturales posteriores al cierre del trimestre que concluye en el mes de diciembre de cada ejercicio, las instituciones de seguros deberán presentar, informar y comprobar a la Comisión Nacional de Seguros y Fianzas, en la forma y términos que ésta determine, el cálculo y la cobertura de su capital mínimo de garantía, así como de su margen de solvencia, conteniendo cuando menos, la información relativa a dichos cálculos y a las inversiones correspondientes a los meses del trimestre de que se trate, a fin de que la propia Comisión compruebe si el cálculo y la cobertura del capital mínimo de garantía se ajustan a lo establecido en las presentes Reglas.
La Comisión Nacional de Seguros y Fianzas en uso de las facultades de inspección y vigilancia que le otorga la Ley General de Instituciones y Sociedades Mutualistas de Seguros podrá, en los casos que estime necesarios, modificar la periodicidad en que las instituciones de seguros deberán presentar, informar y comprobar todo lo concerniente a su capital mínimo de garantía.
TITULO SEGUNDO DEL CAPITAL MINIMO DE GARANTIA
CAPITULO PRIMERO
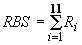
CUARTA.- El capital mínimo de garantía (CMG) que de conformidad con estas Reglas deberán mantener las instituciones de seguros, se determinará como la cantidad que resulte de sumar los requerimientos individuales para cada operación y ramos, según corresponda, integrantes del requerimiento bruto de solvencia (RBS) que se establecen de la Quinta a la Décima Octava de las presentes Reglas, menos las deducciones (D) establecidas en la Décima Novena y Vigésima de las presentes Reglas, es decir que:
CMG = RBS - D
CAPITULO SEGUNDO DEL REQUERIMIENTO BRUTO DE SOLVENCIA
QUINTA.- Se entiende por requerimiento bruto de solvencia (RBS) el monto de recursos que las instituciones de seguros deben mantener para enfrentar la exposición a desviaciones en la siniestralidad esperada de las distintas operaciones del seguro, la exposición a quebrantos por insolvencia de reaseguradores, y la exposición a las fluctuaciones adversas en el valor de los activos que respaldan a las obligaciones contraídas con los asegurados, así como el descalce entre activos y pasivos.
SEXTA.- El requerimiento bruto de solvencia para las instituciones que practiquen el seguro directo será igual a la cantidad que resulte de sumar los siguientes requerimientos individuales, cuyas fórmulas de cálculo se establecen de la Séptima a la Décima Sexta y la Décima Octava de las presentes Reglas:
donde:
es el requerimiento para:
(R1) Operación de vida,
(R2) Seguros de pensiones, derivados de las leyes de seguridad social,
(R3) Operación de accidentes y enfermedades,
(R4) Ramo de salud,
(R5) Ramo de agrícola y de animales,
(R6) Ramo de automóviles,
(R7) Ramo de crédito,
(R8) Los demás ramos de la operación de daños,
(R9) Operación de reafianzamiento,
(R10) Inversiones, y
(R11) Ramo de terremoto.
SEPTIMA.- El requerimiento para la operación de vida (R1), sin considerar a los seguros de pensiones derivados de las leyes de seguridad social, será el 0.03% del promedio de las sumas aseguradas (
) del total de riesgos asumidos (básico y beneficios adicionales) de todas las pólizas en vigor de los últimos doce meses, anteriores a la fecha de su determinación:
OCTAVA.- El requerimiento para los seguros de pensiones derivados de las leyes de seguridad social (R2) será igual a la cantidad que resulte de aplicar el 4% al saldo que reporte al cierre de cada trimestre la reserva matemática de pensiones sujetas a retención correspondiente a los planes en vigor de los seguros de pensiones, derivados de las leyes de seguridad social (RMP) y la reserva de riesgos en curso de beneficios adicionales de dichos seguros, luego de que a este último concepto se le haya aplicado el ponderador de calidad del reaseguro, más el requerimiento de capital por descalce entre activos y pasivos (DAC):
R2 = [4% * (RMP + (RRC*PCR ))+(DAC)]
El ponderador de calidad del reaseguro (PCR) al que se refiere la presente Regla se calculará sumando a la unidad la proporción que representa la prima cedida a los reaseguradores no registrados conforme lo establecen las Reglas sobre el Registro General de Reaseguradoras Extranjeras para Tomar Reaseguro y Reafianzamiento del País en relación a la prima retenida total:
donde:
Pc = Primas cedidas a los reaseguradores no registrados conforme lo establecen las Reglas sobre el Registro General de Reaseguradoras Extranjeras para Tomar Reaseguro y Reafianzamiento del País, para los seguros de pensiones derivados de las leyes de seguridad social correspondientes a los últimos 12 meses transcurridos al cierre de cada trimestre.
Pr = Primas retenidas para los seguros de pensiones derivados de las leyes de seguridad social correspondientes a los últimos 12 meses transcurridos al cierre de cada trimestre.
El requerimiento de capital por descalce entre activos y pasivos (DAC) se determinará como la suma del valor presente del requerimiento adicional por descalce entre los activos y pasivos (VPRAk), correspondientes al intervalo de medición (k) multiplicado por el ponderador de disponibilidad (Wk):
donde:
| (k) = |
Intervalo de medición anual. |
( |
Valor presente del requerimiento adicional por descalce entre los activos y pasivos correspondiente al tramo de medición k. |
| ( |
Ponderador de disponibilidad asignado para cada intervalo de medición k. |
| (N) = |
Número total de intervalos anuales de medición durante los cuales la institución sigue teniendo obligaciones sobre su cartera. Las instituciones deberán someter a la consideración de la Comisión Nacional de Seguros y Fianzas sus procedimientos para obtener el valor de (N) y estarán sujetas a disposiciones administrativas que para tal efecto publique dicho Organismo. |
Para la determinación del valor presente del requerimiento adicional por descalce entre activos y pasivos, de cada intervalo de medición (k) (VPRAk), las instituciones de seguros deberán utilizar la tasa de descuento que determine la Comisión Nacional de Seguros y Fianzas, mediante disposiciones administrativas.
A efecto de que las instituciones de seguros estén en posibilidades de determinar el requerimiento adicional por descalce entre activos y pasivos (Rk), deberán precisar dicho descalce, definido como la diferencia entre sus pasivos (PK) y los activos (AK) al final de cada intervalo de medición de la siguiente forma:
Rk = Pk - Ak
Si la diferencia entre el valor de los pasivos y los activos es positiva, se entenderá que existe descalce. En caso contrario se tomará como cero.
El procedimiento que deberán emplear las instituciones de seguros para la valuación de activos y pasivos se sujetará a lo siguiente:
1. Los pasivos estarán conformados por las siguientes reservas técnicas: matemática de pensiones, de riesgos en curso de beneficios adicionales, matemática especial, de previsión, para fluctuación de inversiones y de obligaciones pendientes de cumplir, incluyendo tanto las de beneficios básicos, como las de beneficios adicionales.
La valuación de los pasivos de las instituciones de seguros (Pk) deberá determinarse para el total de intervalos anuales de medición durante los cuales la institución sigue teniendo obligaciones sobre su cartera. El valor del pasivo correspondiente al intervalo de medición inicial será el equivalente al saldo al trimestre de que se trate.
Para la determinación de la proyección de las reservas técnicas de pensiones a que se refieren las presentes Reglas, deberán aplicarse las experiencias demográficas de invalidez y de mortalidad de inválidos y no inválidos, de acuerdo al sexo y edad de cada uno de los asegurados, integrantes del grupo familiar del pensionado, así como a la tasa de interés técnico correspondiente a la cual se valúe el pasivo.
La proyección del pasivo se calculará empleando el método de valuación exacta, póliza por póliza de acuerdo al último estatus vigente en la composición familiar.
2. Los activos serán las inversiones en valores autorizadas a la cobertura de las reservas técnicas anteriores, atendiendo a los requisitos establecidos en las Reglas para la Inversión de las Reservas Técnicas de las Instituciones y Sociedades Mutualistas de Seguros.
Las instituciones deberán valuar los activos para el total de intervalos de medición (Ak), durante los cuales la institución siga teniendo obligaciones sobre su cartera.
Para obtener la proyección de los activos se procederá de la siguiente forma:
a) Se calculará el valor del activo al cierre del trimestre de que se trate.
b) Para efecto de la proyección del activo, en la medida en que exista en los periodos de valuación, se utilizarán las siguientes tasas de interés:
b.1) Si se trata de títulos para conservar a vencimiento, se utilizará la tasa de valuación (rv) que se aplicará para proyectar la inversión considerando la fecha de redención de los títulos. A partir de la fecha de vencimiento de los títulos, el activo se reinvertirá a la tasa que de a conocer la Comisión Nacional de Seguros y Fianzas, mediante disposiciones administrativas.
b.2) En el caso de títulos para financiar la operación (valuados a mercado):
La Comisión Nacional de Seguros y Fianzas, mediante disposiciones administrativas de carácter general dará a conocer la tasa de rendimiento real (rr) que operará para la proyección de este tipo de instrumentos y las instituciones de seguros deberán apegarse a lo siguiente:
1) Si la tasa de rendimiento de mercado (rm) al momento de la valuación es mayor o igual a la tasa de rendimiento real que de a conocer la Comisión Nacional de Seguros y Fianzas (rr), se utilizará esta última.
2) Si la tasa de rendimiento real que de a concocer la Comisión Nacional de Seguros y Fianzas es mayor o igual a la tasa de mercado (rm) al momento de la valuación, se utilizará esta última.
A partir de la fecha de vencimiento de los títulos, el activo se reinvertirá a la tasa que dé a conocer la Comisión Nacional de Seguros y Fianzas, mediante disposiciones administrativas.
Se denominará Ak el valor proyectado de la totalidad del activo hasta el periodo de medición k (capital e interés) sin aplicar tasas de descuento, de acuerdo a la siguiente fórmula:
donde:
Ak = valor proyectado del activo.
k = periodo de medición en cuestión.
Ai = valor del activo en cuestión.
Z = número de instrumentos en cuestión.
tAj = periodo de cobertura del activo Aj .
ri= tasa de rendimiento del instrumento i, de acuerdo a los criterios establecidos en el inciso b) definido anteriormente.
SAk = siniestralidad acumulada al intervalo de medición k calculada mediante la siguiente metodología:
SA1 = S1 * 1.035
SA2 = SA1 + S2* 1.035
SA3 = SA2 + S3* 1.035
SAk = SAk-1 + Sk* 1.035
donde:
S1 = valor de la nómina real anual (siniestros) de la institución sin incluir los pagos vencidos.
Sk = valor proyectado de la nómina (siniestros) al intervalo de medición k y se calculará tomando en cuenta las diferentes combinaciones de la pensión a pagar de acuerdo al estatus que sobreviva y éste se multiplicará por la probabilidad de sobrevivencia de dicho estatus.
El requerimiento adicional para cada intervalo de medición (k), (RAk), será obtenido mediante el siguiente procedimiento:
RA0 = R0 , donde R0 = P0 – A0
RA1 = R1 – R0
RAk = Rk – Rk-1, donde Rk = Pk – Ak-
Las instituciones de seguros deberán contar, en todo momento, con los elementos que sustenten la valuación de los pasivos y activos, a efecto de que la Comisión Nacional de Seguros y Fianzas compruebe su cálculo cuando este Organismo así lo determine.
El valor de los ponderadores de disponibilidad para cada intervalo de medición (Wk), se obtendrá del cociente de dividir la oferta de los recursos asequibles (Ck), entendiéndose como tales a los instrumentos financieros colocados con cobertura inflacionaria por empresas distintas a las que conforman el Sector Público y que sean elegibles para la cobertura de reservas técnicas, afectados previamente por un factor de disponibilidad, sobre la base de inversión de reservas técnicas del sector (B), de acuerdo a lo siguiente:
Wk = Ck /B
La determinación de la oferta de los recursos asequibles para cada intervalo de medición anual (Ck), se obtendrá del resultado de sumar el número total de instrumentos financieros con cobertura inflacionaria colocados por empresas distintas a las que conforman el Sector Público(P), ponderados por la oferta de los mismos en poder del público (Ci), atendiendo al tipo de instrumento y la fecha de redención, así como por el factor de bursatilidad de los mismos (bi), estableciéndose para este último la clasificación de "Alta", "Media", "Baja" y Escasa" bursatilidad, atendiendo los montos acumulados en poder del público, la frecuencia en las emisiones y la existencia de mercados secundarios, de esta forma se tiene lo siguiente:
Los valores asignados a los factores de bursatilidad (bi) serán los que determine la Comisión Nacional de Seguros y Fianzas, mediante disposiciones administrativas.
Para determinar el monto de recursos asequibles (Ci) para cada año, se considera que el primer año podrá ser cubierto con la suma de todos los recursos disponibles (C1, ...Cn), el año 2 podrá ser cubierto con la suma de los recursos disponibles (C2, ...Cn), y así hasta el año n, en que sólo podrá ser cubierto con los recursos asequibles de instrumentos de ese vencimiento (Cn).
Los ponderadores de disponibilidad (Wk) serán publicados por la Comisión Nacional de Seguros y Fianzas, mediante disposiciones administrativas el primer día hábil siguiente al cierre del trimestre de que se trate. Cuando dicha Comisión no emita los citados ponderadores, las instituciones de seguros utilizarán los valores que se hubieren dado a conocer mediante las disposiciones administrativas inmediatas anteriores.
NOVENA.- El requerimiento para la operación de accidentes y enfermedades (R3) será igual a la cantidad que resulte mayor entre el requerimiento determinado en base a las primas emitidas o el requerimiento determinado en base a los siniestros netos, aplicando a dicha cantidad un ponderador de calidad del reaseguro:
donde:
R3(a) = Requerimiento en base a las primas emitidas.
R3(b) = Requerimiento en base a los siniestros netos ocurridos.
PCR = Ponderador de calidad del reaseguro.
a) El requerimiento en base a las primas emitidas (R3(a)) será el 13.87% de la suma de las primas emitidas (PE3¡) correspondientes a los últimos doce meses transcurridos al cierre de cada trimestre y aplicando a dicho resultado el porcentaje de siniestros de retención (%Ret3¡) de cada institución de seguros, sin que éste pueda en ningún momento ser inferior al porcentaje promedio del mercado durante los tres últimos años (%Ret3m), el cual emitirá la Comisión Nacional de Seguros y Fianzas mediante disposiciones administrativas:
donde:
PE3¡ = Primas emitidas de cada institución de seguros para la operación de accidentes y enfermedades correspondientes a los últimos 12 meses transcurridos al cierre de cada trimestre.
%Ret3i = Porcentaje de siniestros de retención de cada institución de seguros para la operación de accidentes y enfermedades correspondientes a los últimos 12 meses transcurridos al cierre de cada trimestre.
%Ret3m = Porcentaje de siniestros de retención promedio del mercado para la operación de accidentes y enfermedades durante los últimos 3 años.
b) El requerimiento en base a los siniestros netos ocurridos (R3(b)) será el 20.92% del promedio anual de los siniestros netos ocurridos (SO3i) correspondientes a los últimos 36 meses transcurridos al cierre de cada trimestre, actualizados a valores constantes del último mes con base en el Indice Nacional de Precios al Consumidor que publica el Banco de México y a dicho resultado se aplicará el porcentaje de siniestros de retención (%Ret3i) de cada institución de seguros, sin que éste pueda en ningún momento ser inferior al porcentaje promedio del mercado durante los tres últimos años (%Ret3m), el cual emitirá la Comisión Nacional de Seguros y Fianzas mediante disposiciones administrativas:
donde:
= Promedio anual de los siniestros netos ocurridos de cada institución de seguros para la operación de accidentes y enfermedades correspondientes a los últimos 36 meses, a valores constantes del último mes en base al INPC.
= Porcentaje de siniestros de retención de cada institución de seguros para la operación de accidentes y enfermedades correspondientes a los últimos 12 meses transcurridos al cierre de cada trimestre.
= Porcentaje de siniestros de retención promedio del mercado para la operación de accidentes y enfermedades durante los últimos 3 años.
En las alternativas a) y b) a las que se refiere la presente Regla, el porcentaje de siniestros de retención (%Ret) deberá calcularse como el cociente de los siniestros de retención (SR) entre los siniestros netos ocurridos (SO), referidos ambos conceptos como la suma de los movimientos mensuales que correspondan a los últimos doce meses transcurridos al cierre de cada trimestre, y dicho porcentaje en ningún caso podrá ser superior al 100%.
La Comisión Nacional de Seguros y Fianzas emitirá en el primer trimestre de cada año, mediante disposiciones administrativas, el porcentaje de siniestros de retención promedio del mercado durante los tres últimos años. Cuando dicha Comisión no emita las citadas disposiciones, las instituciones de seguros tomarán en cuenta los que se hubieren determinado al último periodo de que se trate.
El ponderador de calidad del reaseguro (PCR) al que se refiere la presente Regla se calculará sumando a la unidad la proporción que representa la prima cedida a los reaseguradores no registrados conforme lo establecen las Reglas sobre el Registro General de Reaseguradoras Extranjeras para Tomar Reaseguro y Reafianzamiento del País en relación a la prima retenida total:
donde:
Pc = Primas cedidas a los reaseguradores no registrados conforme lo establecen las Reglas sobre el Registro General de Reaseguradoras Extranjeras para Tomar Reaseguro y Reafianzamiento del País, para la operación de accidentes y enfermedades correspondientes a los últimos 12 meses transcurridos al cierre de cada trimestre.
Pr = Primas retenidas para la operación de accidentes y enfermedades correspondientes a los últimos 12 meses transcurridos al cierre de cada trimestre.
DECIMA.- El requerimiento para el ramo de salud (R4) será igual a la cantidad que resulte mayor entre el requerimiento determinado en base a las primas emitidas o el requerimiento determinado en base a los siniestros netos, aplicando a dicha cantidad un ponderador de calidad del reaseguro:
R4 = Max (R4(a), R4(b)) * PCR
donde:
R4(a) = Requerimiento en base a las primas emitidas.
R4(b) = Requerimiento en base a los siniestros netos ocurridos.
PCR = Ponderador de calidad del reaseguro.
a) El requerimiento en base a las primas emitidas (R4(a)) será el 13.87% de la suma de las primas emitidas (PE4i) correspondientes a los últimos doce meses transcurridos al cierre de cada trimestre y aplicando a dicho resultado el porcentaje de siniestros de retención (%Ret4¡) de cada institución de seguros, sin que éste pueda en ningún momento ser inferior al porcentaje promedio del mercado durante los tres últimos años (%Ret4m), el cual emitirá la Comisión Nacional de Seguros y Fianzas mediante disposiciones administrativas:
donde:
PE4i = Primas emitidas de cada institución de seguros para el ramo de salud correspondientes a los últimos 12 meses transcurridos al cierre de cada trimestre.
%Ret4¡ = Porcentaje de siniestros de retención de cada institución de seguros para el ramo de salud correspondientes a los últimos 12 meses transcurridos al cierre de cada trimestre.
%Ret4m = Porcentaje de siniestros de retención promedio del mercado para el ramo de salud durante los últimos 3 años.
b) El requerimiento en base a los siniestros netos ocurridos (R4(b)) será el 20.92% del promedio anual de los siniestros netos ocurridos (SO4i) correspondientes a los últimos 36 meses transcurridos al cierre de cada trimestre, actualizados a valores constantes del último mes con base en el Indice Nacional de Precios al Consumidor que publica el Banco de México y a dicho resultado se aplicará el porcentaje de siniestros de retención (%Ret4¡) de cada institución de seguros, sin que éste pueda en ningún momento ser inferior al porcentaje promedio del mercado durante los tres últimos años (%Ret4m), el cual emitirá la Comisión Nacional de Seguros y Fianzas mediante disposiciones administrativas:
donde:
SO4i = Promedio anual de los siniestros netos ocurridos de cada institución de seguros para el ramo de salud correspondientes a los últimos 36 meses, a valores constantes del último mes en base al INPC.
%Ret4¡ = Porcentaje de siniestros de retención de cada institución de seguros para el ramo de salud correspondientes a los últimos 12 meses transcurridos al cierre de cada trimestre.
%Ret4m = Porcentaje de siniestros de retención promedio del mercado para el ramo de salud durante los últimos 3 años.
En las alternativas a) y b) a las que se refiere la presente Regla, el porcentaje de siniestros de retención (%Ret) deberá calcularse como el cociente de los siniestros de retención (SR) entre los siniestros netos ocurridos (SO), referidos ambos conceptos como la suma de los movimientos mensuales que correspondan a los últimos doce meses transcurridos al cierre de cada trimestre, y dicho porcentaje en ningún caso podrá ser superior al 100%.
La Comisión Nacional de Seguros y Fianzas emitirá en el primer trimestre de cada año, mediante disposiciones administrativas, el porcentaje de siniestros de retención promedio del mercado durante los tres últimos años. Cuando dicha Comisión no emita las citadas disposiciones, las instituciones de seguros tomarán en cuenta los que se hubieren determinado al último periodo de que se trate.
El ponderador de calidad del reaseguro (PCR) al que se refiere la presente Regla se calculará sumando a la unidad la proporción que representa la prima cedida a los reaseguradores no registrados conforme lo establecen las Reglas sobre el Registro General de Reaseguradoras Extranjeras para Tomar Reaseguro y Reafianzamiento del País en relación a la prima retenida total:
donde:
Pc = Primas cedidas a los reaseguradores no registrados conforme lo establecen las Reglas sobre el Registro General de Reaseguradoras Extranjeras para Tomar Reaseguro y Reafianzamiento del País, para el ramo de salud correspondientes a los últimos 12 meses transcurridos al cierre de cada trimestre.
Pr = Primas retenidas para el ramo de salud correspondientes a los últimos 12 meses transcurridos al cierre de cada trimestre.
DECIMA PRIMERA.- El requerimiento para el ramo de agrícola y de animales (R5), será igual a la cantidad que resulte mayor entre el requerimiento determinado en base a las primas emitidas o el requerimiento determinado en base a los siniestros netos, aplicando a dicha cantidad un ponderador de calidad del reaseguro:
R5 = Max (R5(a), R5(b)) * PCR
donde:
R5(a) = Requerimiento en base a las primas emitidas.
R5(b) = Requerimiento en base a los siniestros netos ocurridos.
PCR = Ponderador de calidad del reaseguro.
a) El requerimiento en base a las primas emitidas (R5(a)) será el 49.19% de la suma de las primas emitidas (PE5i) correspondientes a los últimos doce meses transcurridos al cierre de cada trimestre y aplicando a dicho resultado el porcentaje de siniestros de retención (%Ret5¡) de cada institución de seguros, sin que éste pueda en ningún momento ser inferior al porcentaje promedio del mercado durante los tres últimos años (%Ret5m), el cual emitirá la Comisión Nacional de Seguros y Fianzas mediante disposiciones administrativas:
donde:
PE5i = Primas emitidas de cada institución de seguros para el ramo de agrícola y de animales correspondientes a los últimos 12 meses transcurridos al cierre de cada trimestre.
%Ret5i = Porcentaje de siniestros de retención de cada institución de seguros para el ramo de agrícola y de animales correspondientes a los últimos 12 meses transcurridos al cierre de cada trimestre.
%Ret5m = Porcentaje de siniestros de retención promedio del mercado para el ramo de agrícola y de animales durante los últimos 3 años.
b) El requerimiento en base a los siniestros netos ocurridos (R5(b)) será el 74.43% del promedio anual de los siniestros netos ocurridos (SO5i) correspondientes a los últimos 36 meses transcurridos al cierre de cada trimestre, actualizados a valores constantes del último mes con base en el Indice Nacional de Precios al Consumidor que publica el Banco de México y a dicho resultado se aplicará el porcentaje de siniestros de retención (%Ret5i) de cada institución de seguros, sin que éste pueda en ningún momento ser inferior al porcentaje promedio del mercado durante los tres últimos años (%Ret5m), el cual emitirá la Comisión Nacional de Seguros y Fianzas, mediante disposiciones administrativas:
donde:
SO5i = Promedio anual de los siniestros netos ocurridos de cada institución de seguros para el ramo de agrícola y de animales correspondientes a los últimos 36 meses, a valores constantes del último mes en base al INPC.
%Ret5i = Porcentaje de siniestros de retención de cada institución de seguros para el ramo de agrícola y de animales correspondientes a los últimos 12 meses transcurridos al cierre de cada trimestre.
%Ret5m = Porcentaje de siniestros de retención promedio del mercado para el ramo de agrícola y de animales durante los últimos 3 años.
En las alternativas a) y b) a las que se refiere la presente Regla, el porcentaje de siniestros de retención (%Ret) deberá calcularse como el cociente de los siniestros de retención (SR) entre los siniestros netos ocurridos (SO), referidos ambos conceptos como la suma de los movimientos mensuales que correspondan a los últimos doce meses transcurridos al cierre de cada trimestre, y dicho porcentaje en ningún caso podrá ser superior al 100%.
La Comisión Nacional de Seguros y Fianzas emitirá en el primer trimestre de cada año, mediante disposiciones administrativas, el porcentaje de siniestros de retención promedio del mercado durante los tres últimos años. Cuando dicha Comisión no emita las citadas disposiciones, las instituciones de seguros tomarán en cuenta los que se hubieren determinado al último periodo de que se trate.
El ponderador de calidad del reaseguro (PCR) al que se refiere la presente Regla se calculará sumando a la unidad la proporción que representa la prima cedida a los reaseguradores no registrados conforme lo establecen las Reglas sobre el Registro General de Reaseguradoras Extranjeras para Tomar Reaseguro y Reafianzamiento del País en relación a la prima retenida total:
donde:
Pc = Primas cedidas a los reaseguradores no registrados conforme lo establecen las Reglas sobre el Registro General de Reaseguradoras Extranjeras para Tomar Reaseguro y Reafianzamiento del País, para el ramo de agrícola y de animales correspondientes a los últimos 12 meses transcurridos al cierre de cada trimestre.
Pr = Primas retenidas para el ramo de agrícola y de animales correspondientes a los últimos 12 meses transcurridos al cierre de cada trimestre.
DECIMA SEGUNDA.- El requerimiento para el ramo de automóviles (R6), será igual a la cantidad que resulte mayor entre el requerimiento determinado en base a las primas emitidas o el requerimiento determinado en base a los siniestros netos, aplicando a dicha cantidad un ponderador de calidad del reaseguro:
R6 = Max (R6(a), R6(b)) * PCR
donde:
R6(a) = Requerimiento en base a las primas emitidas.
R6(b) = Requerimiento en base a los siniestros netos ocurridos.
PCR = Ponderador de calidad del reaseguro.
a) El requerimiento en base a las primas emitidas (R6(a)) será el 20.54% de la suma de las primas emitidas (PE6i) correspondientes a los últimos doce meses transcurridos al cierre de cada trimestre y aplicando a dicho resultado el porcentaje de siniestros de retención (%Ret6i) de cada institución de seguros, sin que éste pueda en ningún momento ser inferior al porcentaje promedio del mercado durante los tres últimos años (%Ret6m), el cual emitirá la Comisión Nacional de Seguros y Fianzas mediante disposiciones administrativas:
donde:
PE6i = Primas emitidas de cada institución de seguros para el ramo de automóviles correspondientes a los últimos 12 meses transcurridos al cierre de cada trimestre.
%Ret6i = Porcentaje de siniestros de retención de cada institución de seguros para el ramo de automóviles correspondientes a los últimos 12 meses transcurridos al cierre de cada trimestre.
%Ret6m = Porcentaje de siniestros de retención promedio del mercado para el ramo de automóviles durante los últimos 3 años.
b) El requerimiento en base a los siniestros netos ocurridos (R6(b)) será el 30.14% del promedio anual de los siniestros netos ocurridos (SO6i) correspondientes a los últimos 36 meses transcurridos al cierre de cada trimestre, actualizados a valores constantes del último mes con base en el Indice Nacional de Precios al Consumidor que publica el Banco de México y a dicho resultado se aplicará el porcentaje de siniestros de retención (%Ret6i) de cada institución de seguros, sin que éste pueda en ningún momento ser inferior al porcentaje promedio del mercado durante los tres últimos años (%Ret6m), el cual emitirá la Comisión Nacional de Seguros y Fianzas mediante disposiciones administrativas:
donde:
= Promedio anual de los siniestros netos ocurridos de cada institución de seguros para el ramo de automóviles correspondientes a los últimos 36 meses, a valores constantes del último mes en base al INPC.
= Porcentaje de siniestros de retención de cada institución de seguros para el ramo de automóviles correspondientes a los últimos 12 meses transcurridos al cierre de cada trimestre.
= Porcentaje de siniestros de retención promedio del mercado para el ramo de automóviles durante los últimos 3 años.
En las alternativas a) y b) a las que se refiere la presente Regla, el porcentaje de siniestros de retención (%Ret) deberá calcularse como el cociente de los siniestros de retención (SR) entre los siniestros netos ocurridos (SO), referidos ambos conceptos como la suma de los movimientos mensuales que correspondan a los últimos doce meses transcurridos al cierre de cada trimestre, y dicho porcentaje en ningún caso podrá ser superior al 100%.
La Comisión Nacional de Seguros y Fianzas emitirá en el primer trimestre de cada año, mediante disposiciones administrativas, el porcentaje de siniestros de retención promedio del mercado durante los tres últimos años. Cuando dicha Comisión no emita las citadas disposiciones, las instituciones de seguros tomarán en cuenta los que se hubieren determinado al último periodo de que se trate.
El ponderador de calidad del reaseguro (PCR ) al que se refiere la presente Regla se calculará sumando a la unidad la proporción que representa la prima cedida a los reaseguradores no registrados conforme lo establecen las Reglas sobre el Registro General de Reaseguradoras Extranjeras para Tomar Reaseguro y Reafianzamiento del País en relación a la prima retenida total:
donde:
Pc = Primas cedidas a los reaseguradores no registrados conforme lo establecen las Reglas sobre el Registro General de Reaseguradoras Extranjeras para Tomar Reaseguro y Reafianzamiento del País, para el ramo de automóviles correspondientes a los últimos 12 meses transcurridos al cierre de cada trimestre.
Pr = Primas retenidas para el ramo de automóviles correspondientes a los últimos 12 meses transcurridos al cierre de cada trimestre.
DECIMA TERCERA.- El requerimiento para el ramo de crédito (R7), será igual a la cantidad que resulte mayor entre el requerimiento determinado en base a las primas emitidas o el requerimiento determinado en base a los siniestros netos, aplicando a dicha cantidad un ponderador de calidad del reaseguro:
R7 = Max (R7(a), R7(b)) * PCR
donde:
R7(a) = Requerimiento en base a las primas emitidas.
R7(b) = Requerimiento en base a los siniestros netos ocurridos.
PCR = Ponderador de calidad del reaseguro.
a) El requerimiento en base a las primas emitidas (R7(a)) será el 113.62% de la suma de las primas emitidas (PE7i) correspondientes a los últimos doce meses transcurridos al cierre de cada trimestre y aplicando a dicho resultado el porcentaje de siniestros de retención (%Ret7i) de cada institución de seguros, sin que éste pueda en ningún momento ser inferior al porcentaje promedio del mercado durante los tres últimos años (%Ret7m), el cual emitirá la Comisión Nacional de Seguros y Fianzas mediante disposiciones administrativas:
donde:
= Primas emitidas de cada institución de seguros para el ramo de crédito correspondientes a los últimos 12 meses transcurridos al cierre de cada trimestre.
= Porcentaje de siniestros de retención de cada institución de seguros para el ramo de crédito correspondientes a los últimos 12 meses transcurridos al cierre de cada trimestre.
= Porcentaje de siniestros de retención promedio del mercado para el ramo de crédito durante los últimos 3 años.
b) El requerimiento en base a los siniestros netos ocurridos (R7(b)) será el 179.82% del promedio anual de los siniestros netos ocurridos (SO7i) correspondientes a los últimos 36 meses transcurridos al cierre de cada trimestre, actualizados a valores constantes del último mes con base en el Indice Nacional de Precios al Consumidor que publica el Banco de México y a dicho resultado se aplicará el porcentaje de siniestros de retención (%Ret7i) de cada institución de seguros, sin que éste pueda en ningún momento ser inferior al porcentaje promedio del mercado durante los tres últimos años (%Ret7m), el cual emitirá la Comisión Nacional de Seguros y Fianzas mediante disposiciones administrativas:
donde:
= Promedio anual de los siniestros netos ocurridos de cada institución de seguros para el ramo de crédito correspondientes a los últimos 36 meses, a valores constantes del último mes en base al INPC.
= Porcentaje de siniestros de retención de cada institución de seguros para el ramo de crédito correspondientes a los últimos 12 meses transcurridos al cierre de cada trimestre.
= Porcentaje de siniestros de retención promedio del mercado para el ramo de crédito durante los últimos 3 años.
En las alternativas a) y b) a las que se refiere la presente Regla, el porcentaje de siniestros de retención (%Ret) deberá calcularse como el cociente de los siniestros de retención (SR) entre los siniestros netos ocurridos (SO), referidos ambos conceptos como la suma de los movimientos mensuales que correspondan a los últimos doce meses transcurridos al cierre de cada trimestre, y dicho porcentaje en ningún caso podrá ser superior al 100%.
La Comisión Nacional de Seguros y Fianzas emitirá en el primer trimestre de cada año, mediante disposiciones administrativas, el porcentaje de siniestros de retención promedio del mercado durante los tres últimos años. Cuando dicha Comisión no emita las citadas disposiciones, las instituciones de seguros tomarán en cuenta los que se hubieren determinado al último periodo de que se trate.
El ponderador de calidad del reaseguro (PCR) al que se refiere la presente Regla se calculará sumando a la unidad la proporción que representa la prima cedida a los reaseguradores no registrados conforme lo establecen las Reglas sobre el Registro General de Reaseguradoras Extranjeras para Tomar Reaseguro y Reafianzamiento del País en relación a la prima retenida total:
donde:
Pc = Primas cedidas a los reaseguradores no registrados conforme lo establecen las Reglas sobre el Registro General de Reaseguradoras Extranjeras para Tomar Reaseguro y Reafianzamiento del País, para el ramo de crédito correspondientes a los últimos 12 meses transcurridos al cierre de cada trimestre.
Pr = Primas retenidas para el ramo de crédito correspondientes a los últimos 12 meses transcurridos al cierre de cada trimestre.
DECIMA CUARTA.- El requerimiento para los demás ramos de la operación de daños (R8), será igual a la cantidad que resulte mayor entre el requerimiento determinado en base a las primas emitidas o el requerimiento determinado en base a los siniestros netos, aplicando a dicha cantidad un ponderador de calidad del reaseguro:
R8 = Max (R8(a), R8(b)) * PCR
donde:
R8(a) = Requerimiento en base a las primas emitidas.
R8(b) = Requerimiento en base a los siniestros netos ocurridos.
PCR = Ponderador de calidad del reaseguro.
a) El requerimiento en base a las primas emitidas (R8(a)) será el 23.67% de la suma de las primas emitidas (PE8i) correspondientes a los últimos doce meses transcurridos al cierre de cada trimestre y aplicando a dicho resultado el porcentaje de siniestros de retención (%Ret8i) de cada institución de seguros, sin que éste pueda en ningún momento ser inferior al porcentaje promedio del mercado durante los tres últimos años (%Ret8m), el cual emitirá la Comisión Nacional de Seguros y Fianzas mediante disposiciones administrativas:
donde:
= Primas emitidas de cada institución de seguros para los demás ramos de daños correspondientes a los últimos 12 meses transcurridos al cierre de cada trimestre.
= Porcentaje de siniestros de retención de cada institución de seguros para los demás ramos de daños correspondientes a los últimos 12 meses transcurridos al cierre de cada trimestre.
= Porcentaje de siniestros de retención promedio del mercado para los demás ramos de daños durante los últimos 3 años.
b) El requerimiento en base a los siniestros netos ocurridos (R8(b)) será el 41.94% del promedio anual de los siniestros netos ocurridos (SO8i) correspondientes a los últimos 36 meses transcurridos al cierre de cada trimestre, actualizados a valores constantes del último mes con base en el Indice Nacional de Precios al Consumidor que publica el Banco de México y a dicho resultado se aplicará el porcentaje de siniestros de retención (%Ret8i) de cada institución de seguros, sin que éste pueda en ningún momento ser inferior al porcentaje promedio del mercado durante los tres últimos años (%Ret8m), el cual emitirá la Comisión Nacional de Seguros y Fianzas mediante disposiciones administrativas:
donde:
= Promedio anual de los siniestros netos ocurridos de cada institución de seguros para los demás ramos de daños correspondientes a los últimos 36 meses, a valores constantes del último mes en base al INPC.
= Porcentaje de siniestros de retención de cada institución de seguros para los demás ramos de daños correspondientes a los últimos 12 meses transcurridos al cierre de cada trimestre.
= Porcentaje de siniestros de retención promedio del mercado para los demás ramos de daños durante los últimos 3 años.
En las alternativas a) y b) a las que se refiere la presente Regla, el porcentaje de siniestros de retención (%Ret) deberá calcularse como el cociente de los siniestros de retención (SR) entre los siniestros netos ocurridos (SO), referidos ambos conceptos como la suma de los movimientos mensuales que correspondan a los últimos doce meses transcurridos al cierre de cada trimestre, y dicho porcentaje en ningún caso podrá ser superior al 100%.
La Comisión Nacional de Seguros y Fianzas emitirá en el primer trimestre de cada año, mediante disposiciones administrativas, el porcentaje de siniestros de retención promedio del mercado durante los tres últimos años. Cuando dicha Comisión no emita las citadas disposiciones, las instituciones de seguros tomarán en cuenta los que se hubieren determinado al último periodo de que se trate.
El ponderador de calidad del reaseguro (PCR) al que se refiere la presente Regla se calculará sumando a la unidad la proporción que representa la prima cedida a los reaseguradores no registrados conforme lo establecen las Reglas sobre el Registro General de Reaseguradoras Extranjeras para Tomar Reaseguro y Reafianzamiento del País en relación a la prima retenida total:
donde:
Pc = Primas cedidas a los reaseguradores no registrados conforme lo establecen las Reglas sobre el Registro General de Reaseguradoras Extranjeras para Tomar Reaseguro y Reafianzamiento del País, para los demás ramos de la operación de daños correspondientes a los últimos 12 meses transcurridos al cierre de cada trimestre.
Pr = Primas retenidas para los demás ramos de la operación de daños correspondientes a los últimos 12 meses transcurridos al cierre de cada trimestre.
DECIMA QUINTA.- El requerimiento para la operación de reafianzamiento (R9) será igual al resultado de multiplicar el factor de exposición por reclamaciones recibidas esperadas de la propia institución de seguros (FS) por el monto de responsabilidades de fianzas en vigor retenidas estimadas (RFVRE), y a la cantidad resultante aplicar un ponderador de calidad del reafianzamiento (PCR), y posteriormente deducir los costos pagados por coberturas de reaseguro y reafianzamiento no proporcional que respalden responsabilidades por fianzas en vigor retenidas (CXL), siempre y cuando hayan sido contratados con reaseguradores registrados conforme lo establecen las Reglas sobre el Registro General de Reaseguradoras Extranjeras para Tomar Reaseguro y Reafianzamiento del País:
Para la determinación del requerimiento para la operación de reafianzamiento (R9) las instituciones de seguros deberán determinar lo siguiente:
a) El factor de exposición por reclamaciones recibidas (FS) será igual al resultado de sumar el monto de responsabilidades por fianzas en vigor tomadas a instituciones de fianzas del país al periodo que se reporta (RFVTFi) multiplicado por el respectivo factor de exposición de reclamaciones recibidas esperadas (FFi), más el monto de responsabilidades por fianzas en vigor tomadas a otras instituciones de seguros o reaseguro del país al periodo que se reporta (RFVTSi) multiplicado por el respectivo factor de exposición de reclamaciones recibidas esperadas (FSi), más el monto de responsabilidades por fianzas en vigor tomadas a instituciones del extranjero al periodo que se reporta (RFVTEi) multiplicado por el respectivo factor de exposición de reclamaciones recibidas esperadas (FEi), y posteriormente la cantidad resultante deberá dividirse entre el monto de las responsabilidades por fianzas en vigor tomadas totales de la propia institución al periodo que se reporta (RFVTT), tal y como se muestra en la siguiente fórmula:
El factor de exposición por reclamaciones recibidas esperadas (FS) a que se refiere el presente inciso en ningún caso podrá ser inferior a 0.
Para efectos del cálculo al que se refiere el presente inciso, la Comisión Nacional de Seguros y Fianzas dará a conocer mediante disposiciones administrativas los factores de exposición de reclamaciones recibidas esperadas de las instituciones de fianzas, de seguros, de reaseguro del país o del extranjero que, de manera obligatoria, deberán emplear las instituciones en el cálculo del factor de exposición por reclamaciones recibidas esperadas (FS).
b) Las responsabilidades por fianzas en vigor retenidas estimadas (RFVRE) serán el monto resultante de multiplicar el saldo de responsabilidades por fianzas en vigor tomadas al periodo de que se trate (RFVT) por el porcentaje de retención de cada institución de seguros (%RetC), sin que éste pueda en ningún momento ser inferior al porcentaje de retención promedio del mercado (%RetM) durante los últimos dos años, el cual emitirá la Comisión Nacional de Seguros y Fianzas mediante disposiciones administrativas:
RFVRE = (RFVT * Max [%RetC , %RetM])
donde:
% RetC = Porcentaje de retención de cada institución de seguros durante los últimos 24 meses transcurridos al cierre de cada trimestre.
% RetM = Porcentaje de retención del mercado durante los últimos 24 meses.
El porcentaje de retención (%Ret) al que se refiere el presente inciso, será igual al promedio de los últimos 24 meses, de los cocientes que resulten de dividir los saldos de las responsabilidades por fianzas en vigor retenidas al periodo de que se trate entre los saldos de las responsabilidades por fianzas en vigor tomadas a ese mismo periodo, dicho porcentaje en ningún caso podrá ser superior al 100%.
La Comisión Nacional de Seguros y Fianzas emitirá durante el primer trimestre de cada año, mediante disposiciones administrativas, el porcentaje de retención promedio del mercado durante los últimos dos años. Cuando dicha Comisión no emita las citadas disposiciones, las instituciones de seguros tomarán en cuenta los que se hubieren determinado al último periodo de que se trate.
c) El Ponderador de calidad de reafianzamiento (Pcr ) se calculará sumando a la unidad la proporción que representan las responsabilidades por fianzas en vigor cedidas a los reaseguradores extranjeros no registrados conforme lo establecen las Reglas sobre el Registro General de Reaseguradoras Extranjeras para Tomar Reaseguro y Reafianzamiento del País (RFVCNR), al periodo de que se trate, en relación a las responsabilidades por fianzas en vigor retenidas (RFVR) a ese mismo periodo:
DECIMA SEXTA.- El requerimiento por inversiones (R10) será igual a la cantidad que resulte de sumar el requerimiento por faltantes en la cobertura de la inversión de las reservas técnicas (RRT) y el requerimiento por el riesgo de crédito financiero (RRC):
R10 = RRT + RRC
a) El requerimiento por faltantes en la cobertura de la inversión de las reservas técnicas (RRT) será igual a la cantidad que resulte de aplicar, al monto total del faltante en la cobertura (T), al de moneda extranjera (E), al de moneda indizada (I), y al de liquidez (L), a la fecha de su determinación, los porcentajes que les correspondan de acuerdo a lo establecido en la siguiente tabla:
| Tipo de faltante |
Porcentaje |
| Total |
100 |
| Moneda Extranjera |
8.0 |
| Moneda Indizada |
6.5 |
| Liquidez |
6.5 |
b) Para la determinación del requerimiento por el riesgo de crédito financiero (RRC), las instituciones deberán clasificar los saldos de los diferentes instrumentos de inversión afectos a la cobertura de las reservas técnicas, a la fecha de su determinación, en atención al riesgo de crédito de los emisores de cada instrumento, en alguno de los siguientes grupos:
I. Valores emitidos o avalados por el Gobierno Federal; así como las demás inversiones autorizadas que se asimilen a este grupo.
II. Depósitos y valores a cargo de o garantizados o avalados por instituciones de crédito; valores a cargo de instituciones de seguros, de reaseguro y de fianzas; operaciones de descuento y redescuento, realizados con las personas señaladas en este numeral; operaciones de reporto sobre valores gubernamentales realizados con instituciones de crédito; así como las demás inversiones autorizadas que se asimilen a este grupo.
III. Valores, demás activos financieros, y operaciones de descuento y redescuento, no comprendidos en las fracciones I y II de este inciso, que cuenten con una calificación otorgada por una empresa calificadora de valores autorizada por la Comisión Nacional Bancaria y de Valores; así como productos derivados listados y las operaciones de reporto sobre valores gubernamentales realizados con casas de bolsa.
La Comisión Nacional de Seguros y Fianzas dará a conocer, mediante disposiciones administrativas, los nombres de las agencias calificadoras de valores y las calificaciones mínimas que se considerarán para efectos de la calificación a que se refiere el párrafo anterior.
IV. Créditos, valores y demás activos financieros, así como las operaciones de descuento y redescuento, no comprendidos en las fracciones I, II y III de este inciso.
El requerimiento por el riesgo de crédito financiero (RRC) se determinará aplicando a los saldos de los diferentes instrumentos de inversión afectos a la cobertura de las reservas técnicas, a la fecha de su determinación, conforme a la clasificación establecida en la presente Regla, los porcentajes que les correspondan de acuerdo a lo establecido en la siguiente tabla:
| Grupo |
Porcentaje |
| I |
0 |
| II |
1.6 |
| III |
4.0 |
| IV |
8.0 |
Eso es, que el RRC será igual a:
Cuando los saldos de los diferentes instrumentos de inversión afectos a la cobertura de las reservas técnicas, a los que se aplicarán los porcentajes señalados en la tabla anterior de la presente Regla, presenten un sobrante, éste no se considerará como elemento integrante de dichas inversiones.
DECIMA SEPTIMA.- El requerimiento bruto de solvencia para las instituciones que practiquen exclusivamente el reaseguro (RBSreas) en la operación de vida (R1), seguros de pensiones, derivados de las leyes de seguridad social por lo que respecta a la parte de los beneficios adicionales (R2’), operación de accidentes y enfermedades (R3), ramo de salud (R4), ramo de automóviles (R6), operación de reafianzamiento (R9), requerimiento por inversiones (R10), y lo que respecta al ramo de terremoto (R11), será el establecido en la Séptima, Octava, Novena, Décima, Décima Segunda, Décima Quinta, Décima Sexta y Décima Octava de las presentes Reglas, mientras que para el ramo de agrícola y de animales (R5), el ramo de crédito (R7) y demás ramos de la operación de daños (R8), será del 50% de los requerimientos mencionados en la Décima Primera, Décima Tercera y Décima Cuarta de las presentes Reglas:
donde:
R2’= 4%*(RRC*PCR)
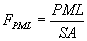
DECIMA OCTAVA.- El requerimiento del ramo de terremoto (R11), será igual a la cantidad que resulte de sumar el requerimiento relativo a los riesgos retenidos por la institución en el ramo de terremoto (RRT1) y el requerimiento derivado de deficiencias en la cesión proporcional de riesgos de dicho ramo (RRT2):
1. El requerimiento relativo a los riesgos retenidos por la institución en el ramo de terremoto (RRT1) a que se refiere la presente Regla, será igual a la cantidad que resulte mayor entre la pérdida máxima probable de la cartera de la empresa calculada conforme a las bases técnicas dadas a conocer por la Comisión Nacional de Seguros y Fianzas, mediante disposiciones administrativas, considerando la retención de la empresa en el ramo (PMLRC) y la pérdida máxima probable de la cartera de la empresa calculada conforme a dicha metodología pero considerando la retención promedio del mercado en el ramo (PMLRM):
El cálculo de pérdida máxima probable de la cartera de la empresa considerando la retención promedio del mercado en el ramo (PMLRM), se realizará aplicando, a las sumas aseguradas de pólizas en vigor al cierre del trimestre de que se trate ponderadas por el factor de retención del mercado (FRM) y por el factor de Pérdida Máxima Probable (FPPML), calculado como el cociente de la Pérdida Máxima Probable con base en las referidas bases técnicas (PML) y las sumas aseguradas de pólizas en vigor (SA):
El factor de retención del mercado a que se refiere el presente numeral, será dado a conocer anualmente por la Comisión Nacional de Seguros y Fianzas, dentro del primer trimestre de cada año.
2. El requerimiento derivado de deficiencias en la cesión proporcional de riesgos del ramo de terremoto (RRT2) al que se refiere la presente Regla, será igual a la cantidad que resulte de multiplicar la pérdida máxima probable de la cartera de la empresa calculada conforme a las bases técnicas que en su momento dé a conocer la Comisión Nacional de Seguros y Fianzas, considerando la retención de la empresa en el ramo (PMLRC), por un factor de ponderación de la calidad del reaseguro proporcional definido como el cociente de las primas cedidas en reaseguro a reaseguradores no inscritos en el Registro General de Reaseguradoras Extranjeras para Tomar Reaseguro y Reafianzamiento del País y las primas retenidas por la institución, todas ellas en el ramo de terremoto (PCRN/PR):
CAPITULO TERCERO DE LAS DEDUCCIONES
DECIMA NOVENA.- El capital mínimo de garantía (CMG) será igual a la cantidad que resulte de aplicar al requerimiento bruto de solvencia (RBS) que se establece de la Quinta a la Décima Octava de las presentes Reglas, las siguientes deducciones (D):
CMG = RBS - D
a) El saldo que reporte al cierre de cada trimestre la reserva de previsión correspondiente a cada una de las operaciones o ramos, con excepción de los requerimientos contenidos en la Octava, Décima Quinta, Décima Sexta y Décima Octava de las presentes Reglas, sin que la suma de tales deducciones pueda exceder a la suma de los montos de dichos requerimientos.
b) El saldo que reporte al cierre de cada trimestre la reserva de previsión correspondiente a los seguros de pensiones, derivados de las leyes de seguridad social, así como la reserva para fluctuación de inversiones adicional, en el caso del requerimiento establecido en la Octava de las presentes Reglas, excluyendo el requerimiento de capital por descalce entre activos y pasivos, sin que tal deducción pueda exceder al monto de dicho requerimiento. Asimismo, el saldo de la reserva para fluctuación de inversiones adicional, no podrá en ningún momento ser superior al 15% del requerimiento bruto de solvencia de la institución de seguros de que se trate. En lo relativo al requerimiento de capital por descalce entre activos y pasivos se podrá deducir el saldo de la reserva de fluctuación de inversiones básicas de beneficios básicos y de beneficios adicionales, sin que tal deducción pueda exceder al monto de dicho requerimiento.
c) La cantidad que resulte de sumar el saldo no dispuesto que reporte al cierre de cada trimestre la reserva de fianzas en vigor (SNDRFV) más el resultado de multiplicar el saldo no dispuesto que reporte al cierre de cada trimestre la reserva de contingencia (SNDRC) por el factor medio de calificación de las garantías de recuperación de la propia institución de seguros (
), en el caso del requerimiento para la operación de reafianzamiento establecido en la Décima Quinta de las presentes Reglas, sin que tal deducción pueda exceder al monto de dicho requerimiento:
Deducción c) =
El factor medio de calificación de las garantías de recuperación (
), será igual al resultado de sumar el monto de responsabilidades por fianzas en vigor tomadas a instituciones de fianzas del país al periodo que se reporta (RFVTFi) multiplicado por el respectivo factor medio de calificación de garantías de recuperación (
), más el monto de responsabilidades por fianzas en vigor tomadas a otras instituciones de seguros o reaseguro del país al periodo que se reporta (RFVTSi) multiplicado por el respectivo factor medio de calificación de garantías de recuperación (
), más el monto de responsabilidades por fianzas en vigor tomadas a instituciones del extranjero al periodo que se reporta (RFVTEi) multiplicado por el respectivo factor medio de calificación de garantías de recuperación (
), y posteriormente la cantidad resultante deberá dividirse entre el monto de las responsabilidades por fianzas en vigor tomadas totales de la propia institución al periodo que se reporta (RFVTT), tal y como se muestra en la siguiente fórmula:
Para efectos del cálculo al que se refiere el presente inciso, la Comisión Nacional de Seguros y Fianzas dará a conocer mediante disposiciones administrativas de carácter general los factores medios de calificación de garantías de las instituciones de fianzas, de seguros, reaseguro del país o del extranjero que, de manera obligatoria, deberán emplear las instituciones en el cálculo del factor medio de calificación de las garantías de recuperación (
).
d) La cantidad que resulte de sumar el saldo que reporte al cierre de cada trimestre la reserva para riesgos catastróficos (RRCAT) más el saldo ajustado de las coberturas de exceso de pérdida (CXLA), a la fecha de su determinación, en el caso del requerimiento establecido en la Décima Octava de las presentes Reglas, sin que tal deducción pueda exceder al monto señalado en el numeral 1 de dicha Regla (RFT1):
El saldo ajustado de las coberturas de exceso de pérdida (CXLA) al que se refiere el presente inciso se sujetará a lo siguiente:
1. Unicamente serán consideradas aquellas coberturas de exceso de pérdida correspondientes a pólizas en vigor adquiridas a reaseguradores inscritos en el Registro General de Reaseguradoras Extranjeras para Tomar Reaseguro y Reafianzamiento del País
, a la fecha de su determinación.
2. El monto de las coberturas de reaseguro de exceso de pérdida (CXLC) que será considerado para el cálculo del saldo ajustado (CXLA) no podrá exceder al valor total del requerimiento relativo a los riesgos retenidos por la institución en el ramo de terremoto RRT1 establecido en el primer numeral de la Décima Octava de las presentes Reglas:
3. El saldo ajustado de las coberturas de exceso de pérdida (CXLA) se calculará aplicando a los montos de cobertura de exceso de pérdida que cumplan con lo señalado en los dos numerales anteriores, los factores de ajuste (Fj) de la siguiente tabla, que correspondan a la calificación con la que cada reasegurador cuente dentro del Registro General de Reaseguradoras Extranjeras para Tomar Reaseguro y Reafianzamiento del País:
,
de tal forma que:
Factores de Ajuste
| Calificación |
Standard & Poor’s |
A. M. Best |
Duff & Phelps |
Moody´s |
Fitch Ibca |
Factores de Ajuste |
| Superior |
AAA |
A++, A+ |
AAA |
Aaa |
AAA |
0.95 |
| Excelente |
AA+, AA, AA- |
A, A- |
AA+, AA, AA- |
Aa1, Aa2, Aa3 |
AA+, AA, AA- |
0.90 |
| Muy Bueno / Bueno |
A+, A, A- |
B++, B |
A+, A, A- |
A1, A2, A3 |
A+, A, A- |
0.85 |
| Adecuado |
BBB+, BBB, BBB- |
BBB+, BBB, BBB- |
Baa1, Baa2, Baa3 |
BBB+, BBB, BBB- |
0.80 |
Para efectos de la aplicación del factor de ajuste a que se refiere el párrafo anterior, en el caso de que una reaseguradora inscrita en el Registro General de Reaseguradoras Extranjeras para Tomar Reaseguro y Reafianzamiento del País, cuente con más de una calificación expedida por agencias calificadoras, se considerará la menor de ellas.
e) El margen excedente del ramo de terremoto (MERT1), definido como la diferencia entre los recursos señalados en la inciso d) de la presente Regla y el requerimiento relativo a los riesgos retenidos por la institución en el ramo de terremoto RRT1 establecido en el primer numeral de la Décima Octava de las presentes Reglas:
El margen excedente al que se refiere el presente inciso, únicamente podrá considerarse como deducción aplicable a los requerimientos establecidos de la Décima Primera a la Décima Quinta y en el numeral 2 de la Décima Octava de las presentes Reglas, siempre y cuando se cumplan las tres condiciones siguientes:
1. El saldo de la reserva de riesgos catastróficos (RRCAT) sea por lo menos igual al 50% de su límite técnico de acumulación (LTRCAT).
2. El monto máximo de la deducción sea menor o igual al 10% del saldo de la reserva de riesgos catastróficos:
3. El monto de la deducción calculada conforme al numeral anterior sea menor al 10% de la suma de los requerimientos establecidos de la Décima Primera a la Décima Quinta y en el numeral 2 de la Décima Octava de las presentes Reglas:
VIGESIMA.- Adicionalmente a las deducciones señaladas en la Regla Décima Novena anterior, las instituciones de seguros podrán deducir los montos de las reservas especiales que expresamente y de manera específica, les autorice la Secretaría de Hacienda y Crédito Público, oyendo previamente la opinión de la Comisión Nacional de Seguros y Fianzas.
Si las deducciones a las que se refiere la presente Regla son mayores al requerimiento bruto de solvencia, calculado conforme lo establecido en estas Reglas, el monto excedente a dicha suma no se considerará para efectos del cálculo del capital mínimo de garantía.
TITULO TERCERO DE LA INVERSION DEL CAPITAL MINIMO DE GARANTIA
CAPITULO PRIMERO DE LOS ACTIVOS COMPUTABLES
VIGESIMA PRIMERA.- Las instituciones de seguros deberán mantener invertidos, en todo momento, los activos destinados a respaldar su capital mínimo de garantía, de conformidad con lo establecido en el artículo 61 de la Ley General de Instituciones y Sociedades Mutualistas de Seguros. Dichos activos serán adicionales de aquellos que se destinen para la cobertura de las reservas técnicas y de otros pasivos de las instituciones de seguros. La información relativa a la cobertura del capital mínimo de garantía deberá presentarse a la Comisión Nacional de Seguros y Fianzas, de conformidad con lo previsto en la Tercera de las presentes Reglas.
VIGESIMA SEGUNDA.- Las instituciones deberán mantener invertidos, en todo momento, los activos computables al capital mínimo de garantía en:
a) Valores, títulos, créditos y otros activos considerados y de acuerdo a los requisitos que en su caso se estipulen en las Reglas para la Inversión de las Reservas Técnicas de las Instituciones y Sociedades Mutualistas de Seguros, con excepción de las inversiones que en términos de la Ley General de Instituciones y Sociedades Mutualistas de Seguros pueden realizar las instituciones de seguros de manera indirecta o directa en el capital pagado de otras instituciones de seguros o de reaseguro o de instituciones de fianzas, del país o del extranjero, así como en los otros intermediarios financieros a que se refiere la propia Ley.
b) Mobiliario y equipo, inmuebles, derechos reales, que no sean de garantía, y acciones de las sociedades que se organicen exclusivamente para adquirir el dominio y administrar inmuebles que cumplan con los requisitos señalados en la Trigésima y Trigésima Primera de las presentes Reglas.
c) Gastos de establecimiento, de instalación y de organización, así como la suma de los saldos a cargo de agentes e intermediarios, documentos por cobrar y deudores diversos.
d) Préstamos quirografarios, caja y bancos, préstamos al personal, dividendos por cobrar sobre acciones y activos adjudicados.
Adicionalmente a los activos señalados en el párrafo anterior, las instituciones de seguros podrán considerar como activos computables al capital mínimo de garantía los siguientes:
a) Los sobrantes que reporte la cobertura de inversión de las reservas técnicas al mes de que se trate.
b) Los que expresamente y de manera específica, les autorice la Secretaría de Hacienda y Crédito Público, oyendo previamente la opinión de la Comisión Nacional de Seguros y Fianzas.
CAPITULO SEGUNDO DE LOS DEPOSITARIOS
VIGESIMA TERCERA.- Los títulos o valores a que se refieren estas Reglas deberán depositarse en instituciones de crédito, en instituciones para el depósito de valores o en casas de bolsa.
Las instituciones de seguros deberán realizar contratos con los diferentes organismos depositarios, en los que se establecerá como requisito la obligación de los mismos a formular estados de cuenta mensuales en donde se identifiquen de manera individualizada los instrumentos depositados, con el objeto de que las instituciones de seguros presenten a la Comisión, una copia de dichos estados de cuenta de conformidad con lo previsto en la Tercera de las presentes Reglas.
Tratándose de inversiones en moneda extranjera, podrán fungir como organismos depositarios las entidades financieras mexicanas o las entidades financieras del exterior que sean filiales de aquéllas.
CAPITULO TERCERO DE LOS LIMITES DE INVERSION
VIGESIMA CUARTA.- Las instituciones, al llevar a cabo las inversiones a que se refieren las presentes Reglas, deberán observar los siguientes límites respecto a su capital mínimo de garantía:
I. Por tipo de valores, títulos, bienes, créditos, reportos u otros activos:
a) Valores emitidos o respaldados por el Gobierno Federal, hasta el 100%;
b) Valores emitidos o respaldados por instituciones de crédito, hasta el 80%;
c) Valores emitidos por entidades distintas al Gobierno Federal e instituciones de crédito, hasta el 70%;
d) Operaciones de descuento y redescuento, hasta el 20%;
e) Préstamos con garantía prendaria de títulos o valores, hasta el 20%;
f) Préstamos hipotecarios, hasta el 20%;
g) La suma de los activos mencionados en el inciso b) de la Vigésima Segunda de las presentes Reglas, hasta el 60%;
h) La suma de los activos mencionados en el inciso c) de la Vigésima Segunda de las presentes Reglas, hasta el 30%;
i) Préstamos quirografarios, hasta el 5%;
j) Caja y bancos, hasta el 100%;
k) Préstamos al personal, hasta el 15%;
l) Dividendos por cobrar sobre acciones, hasta el 60%;
m) Activos adjudicados, hasta el 30%;
n) Operaciones de reporto, hasta el 60%, y
o) Préstamos sobre pólizas, deudor por prima, primas por cobrar, primas retenidas por reaseguro tomado, participación de reaseguradores por siniestros pendientes y siniestros retenidos por reaseguro tomado, hasta el 100%.
Adicionalmente a los límites anteriores, las instituciones que se encuentren autorizadas para operar exclusivamente reaseguro deberán observar las siguientes limitantes:
a) El saldo deudor de la cuenta de instituciones de seguros por las operaciones de reaseguro tomado que practiquen con entidades del exterior que se encuentren inscritas en el Registro General de Reaseguradoras Extranjeras para Tomar Reaseguro y Reafianzamiento del País, siempre y cuando los saldos estén respaldados por los estados de cuenta de las instituciones cedentes, hasta el 100%, y
b) Siniestros pagados de contado por cuenta de los retrocesionarios, siempre y cuando el financiamiento de dichos siniestros no exceda de noventa días de antigüedad; y que dichas entidades del exterior que actúan como retrocesionarias se encuentren inscritas en el Registro General de Reaseguradoras Extranjeras para Tomar Reaseguro y Reafianzamiento del País, hasta el 100%.
II. Por emisor o deudor:
a) En acciones, valores, operaciones de descuento y redescuento, créditos o préstamos a favor de entidades integrantes de grupos financieros, instituciones, sociedades o personas, que por sus nexos patrimoniales con la institución de seguros, constituyan riesgos comunes, hasta el 20%, y
b) En acciones, valores, operaciones de descuento y redescuento, créditos o préstamos a favor de entidades integrantes de grupos financieros, instituciones, sociedades o personas, que por sus nexos patrimoniales entre los emisores, constituyan riesgos comunes, hasta el 36%.
Para efectos de las presentes Reglas se entenderá como nexo patrimonial el que existe entre la institución de seguros y las personas morales siguientes:
a) Las que participen en su capital social;
b) En su caso, las demás entidades financieras que formen parte del grupo financiero al que pertenezca la institución de seguros de que se trate;
c) En su caso, entidades financieras que tengan un nexo patrimonial de los señalados en los incisos a) y b) anteriores, con entidades financieras que formen parte del grupo financiero al que pertenezca la propia institución de seguros;
d) En su caso, entidades financieras que, directa o indirectamente, tengan nexos patrimoniales de los señalados en los incisos a), b) y c) anteriores, con la entidad financiera que participe en el capital social de la institución de seguros de que se trate, y
e) Sociedades mercantiles que formen un conjunto o grupo en las que por sus nexos patrimoniales, la situación financiera de una o varias de ellas pueda influir en forma decisiva en la de las demás, o cuando la administración de esas sociedades mercantiles dependa directamente o indirectamente de una misma persona.
Para los activos mencionados en el segundo párrafo de la Vigésima Segunda de las presentes Reglas, las instituciones deberán observar los siguientes límites respecto a su capital mínimo de garantía:
1. La suma de los activos mencionados en el inciso a), hasta el 100%.
2. Los activos mencionados en el inciso b), hasta el porcentaje que expresamente y de manera específica, les autorice la Secretaría de Hacienda y Crédito Público, oyendo previamente la opinión de la Comisión Nacional de Seguros y Fianzas.
TITULO CUARTO DEL MARGEN DE SOLVENCIA
CAPITULO PRIMERO
VIGESIMA QUINTA.- Se considera margen de solvencia (MS) a la cantidad que resulta de deducir al monto de los activos computables al capital mínimo de garantía (Ac CMG) el monto del capital mínimo de garantía (CMG):
MS = Ac CMG - CMG
Cuando el margen de solvencia adopte valores negativos, se entenderá que existe un faltante en la cobertura del capital mínimo de garantía de la institución de seguros de que se trate.
Cuando el margen de solvencia adopte valores positivos, la institución de seguros podrá considerar el resto de los activos computables al capital mínimo de garantía, en exceso a las limitantes establecidas en la Vigésima Cuarta de las presentes Reglas, siempre y cuando dichos activos sean adicionales de aquellos que se destinen para la cobertura de las reservas técnicas y de otros pasivos, para calcular el margen de solvencia global:
MSG = Ac CMG + AcExc CMG - CMG
donde:
MSG = Margen de solvencia global.
Ac CMG = Activos computables al CMG, de acuerdo a las limitantes establecidas en la Vigésima Cuarta de las presentes Reglas.
Ac Exc CMG = Activos computables al CMG, en exceso a las limitantes establecidas en la Vigésima Cuarta de las presentes Reglas.
CMG = Capital Mínimo de Garantía.
VIGESIMA SEXTA.- Cuando la Comisión Nacional de Seguros y Fianzas advierta que una institución de seguros presenta un faltante en la cobertura del capital mínimo de garantía en los términos previstos en estas Reglas, la propia Comisión concederá a la institución un plazo de quince días naturales a partir de la fecha de la notificación para que ésta someta a la aprobación de esa Comisión un plan proponiendo los términos en que procederá a cubrir el monto requerido del capital mínimo de garantía.
El plan que, en su caso, apruebe la Comisión Nacional de Seguros y Fianzas no podrá exceder en su ejecución un término máximo de seis meses, contado a partir de la fecha en que se hubiera manifestado el faltante.
Hasta en tanto prevalezca la situación prevista en el párrafo anterior, las instituciones de seguros autorizadas para operar seguros de pensiones derivados de las leyes de seguridad social no podrán emitir endosos por concepto de beneficios adicionales ni podrán realizar nuevas aportaciones a la reserva para fluctuación de inversiones adicional. Asimismo, la Comisión Nacional de Seguros y Fianzas, de acuerdo a la severidad del caso, podrá ordenar a dichas instituciones la suspensión de la emisión de planes básicos, hasta en tanto se restablezca la situación de solvencia.
VIGESIMA SEPTIMA.- Cuando a juicio de la Comisión Nacional de Seguros y Fianzas, el faltante en la cobertura del capital mínimo de garantía repercuta gravemente en la situación financiera de la institución de seguros de que se trate o ponga en peligro el cumplimiento de las obligaciones a cargo de la misma, la propia Comisión podrá emitir opinión a la Secretaría de Hacienda y Crédito Público para efectos de lo dispuesto por el artículo 75 fracción V Bis de la Ley General de Instituciones y Sociedades Mutualistas de Seguros.
Cuando la institución de seguros no presente el plan a que se refiere la Vigésima Sexta de las presentes Reglas, o no cumpla adecuadamente con los términos del mismo y se afecte su estabilidad o solvencia, la Comisión Nacional de Seguros y Fianzas procederá conforme al artículo 75 de la Ley General de Instituciones y Sociedades Mutualistas de Seguros y dará por terminado anticipadamente el plazo concedido, sin perjuicio de ejercer de manera simultánea las facultades previstas en los artículos 112 y 113 de la misma Ley.
Cuando transcurra el plazo, que en su caso, se hubiere fijado por la Comisión Nacional de Seguros y Fianzas para la reposición de los recursos de capital para cubrir el faltante determinado en la cobertura del capital mínimo de garantía y éstos no se reintegren totalmente, la propia Comisión lo comunicará a la Secretaría de Hacienda y Crédito Público, para los efectos del artículo 74 de la Ley General de Instituciones y Sociedades Mutualistas de Seguros.
CAPITULO SEGUNDO DE LAS SANCIONES
VIGESIMA OCTAVA.- Cuando la Comisión Nacional de Seguros y Fianzas determine faltantes en la cobertura del capital mínimo de garantía de conformidad con lo que establecen las presentes Reglas, lo hará del conocimiento de la institución de seguros para que exponga lo que a su derecho convenga.
Si quedó comprobado el faltante, sin perjuicio de que la institución de seguros de que se trate proceda a cubrirlo, se le impondrá una sanción cuyo monto se determinará multiplicando el faltante, deduciendo del mismo el faltante que, en su caso, reporte la cobertura de reservas técnicas a esa fecha, por un factor de 1 hasta 1.75 veces, la tasa promedio ponderada de rendimiento equivalente a la tasa de descuento de los Certificados de la Tesorería de la Federación a veintiocho días o al plazo que sustituya a éste en caso de días inhábiles, en colocación primaria emitidos en el mes de que se trate, publicada en dos periódicos de amplia circulación en el país. En caso de que se dejen de emitir dichos Certificados, se deberá utilizar como referencia el instrumento que los sustituya.
En la determinación del factor señalado en el párrafo anterior, la Comisión Nacional de Seguros y Fianzas deberá tomar en cuenta las condiciones e intención del infractor, así como la importancia de la infracción y la conveniencia de evitar prácticas tendientes a contravenir las disposiciones establecidas en las presentes Reglas. Asimismo, la reincidencia se podrá castigar con una multa hasta por el doble del factor máximo establecido en la presente Regla.
El cálculo de la sanción, se hará multiplicando el faltante determinado por el factor que corresponda de la tasa de interés determinada, conforme al criterio establecido en la presente Regla, así como por un periodo completo de 90 días correspondientes al trimestre en que ocurrió el faltante, y dividiendo el producto resultante entre trescientos sesenta.
Las instituciones de seguros deberán enterar el importe de la sanción a la Tesorería de la Federación en un plazo máximo de quince días hábiles, contado a partir de la fecha en que reciban la respectiva comunicación.
VIGESIMA NOVENA.- La Comisión Nacional de Seguros y Fianzas podrá disminuir la sanción a que se refiere la Regla Vigésima Octava anterior, en caso de que los faltantes se originen por situaciones críticas de las instituciones, o por errores u omisiones de carácter administrativo en los que a criterio de la propia Comisión no haya mediado mala fe.
TITULO QUINTO DE LOS REQUISITOS DE OPERACION DE LAS SOCIEDADES INMOBILIARIAS DE LAS QUE SEAN ACCIONISTAS LAS INSTITUCIONES DE SEGUROS
CAPITULO UNICO
TRIGESIMA.- Las instituciones de seguros darán aviso a la Comisión Nacional de Seguros y Fianzas acerca de la constitución de sociedades inmobiliarias en las que participen como accionistas y sean titulares de cuando menos el cincuenta y uno por ciento de las acciones. Asimismo, se dará aviso cuando al adquirir acciones de sociedades inmobiliarias ya constituidas, las aseguradoras que sean socias alcancen la mayoría antes mencionada. En todos estos casos las sociedades inmobiliarias estarán sujetas a la inspección y vigilancia de la propia Comisión.
Cuando las instituciones de seguros constituyan alguna sociedad inmobiliaria con la participación de acciones en los términos del párrafo anterior, acompañarán al citado aviso, copia certificada de la escritura constitutiva y estatutos sociales que regirán el funcionamiento de la sociedad inmobiliaria correspondiente, así como sus modificaciones, las cuales deberán presentarse a la referida Comisión en un plazo de diez días hábiles de haberse efectuado. La misma Comisión podrá en cualquier momento, ordenar modificaciones o correcciones a la escritura constitutiva y a los estatutos sociales de la sociedad inmobiliaria, si considera que no se apegan a lo dispuesto por la Ley General de Instituciones y Sociedades Mutualistas de Seguros o a las presentes Reglas.
TRIGESIMA PRIMERA.- Las sociedades inmobiliarias deberán constituirse en forma de sociedad anónima de capital fijo o variable, organizarse y funcionar con apego a la Ley General de Sociedades Mercantiles y ajustarse a lo siguiente:
1. Su objeto social será exclusivamente la adquisición, arrendamiento, administración, aprovechamiento, explotación, enajenación y uso de inmuebles, así como la ejecución de obras de adaptación, conservación, construcción, demolición, mantenimiento y modificación que sobre éstos se realicen;
2. Sus acciones serán nominativas y para la transmisión de las que sean propiedad de las instituciones de seguros, se requerirá dar previo aviso a la Comisión Nacional de Seguros y Fianzas con treinta días de anticipación a dicha transmisión;
3. El cuarenta y nueve por ciento de las acciones representativas del capital pagado de las sociedades inmobiliarias podrá ser adquirido por personas físicas o morales de nacionalidad mexicana o extranjera. En ningún caso podrán participar en el capital de dichas instituciones, ya sea directamente o a través de interpósita persona, gobiernos o dependencias oficiales extranjeras;
4. Tendrán su domicilio social dentro del territorio nacional;
5. No podrán ser comisarios propietarios o suplentes de las sociedades inmobiliarias los miembros de su consejo de administración, sus auditores externos, así como los funcionarios y empleados de dichas sociedades;
6. Se abstendrán de invertir en acciones u otros valores emitidos por sus accionistas e igualmente en empresas controladas por ellos o por el mismo grupo financiero al que pertenezcan;
7. Sólo podrán obtener créditos de terceros en cumplimiento a su objeto social y no podrán obtener ningún tipo de crédito de su accionista mayoritario. Podrán otorgar préstamos a sus empleados en cumplimiento de las disposiciones laborales respectivas. Asimismo, podrán realizar gastos con el único propósito de dar cumplimiento a su objeto social y de acuerdo a las necesidades que el ejercicio del mismo demande;
8. Las sociedades inmobiliarias deberán registrar en su contabilidad los superávit por revaluación de los inmuebles de su propiedad conforme a las disposiciones aplicables a las instituciones de seguros;
9. Las sociedades inmobiliarias que hayan optado por capitalizar el superávit por revaluación de inmuebles, deberán insertar al pie de su estado de situación financiera, una nota en los siguientes términos:
"El capital pagado incluye la cantidad de $____ moneda nacional, originada por la capitalización parcial del superávit por revaluación de inmuebles";
10. Las prohibiciones a que se refiere el texto de las fracciones III, IV, V, VIII, IX, X y XII del artículo 62 de la Ley General de Instituciones y Sociedades Mutualistas de Seguros serán aplicables a las sociedades inmobiliarias;
11. En el caso de venta de un inmueble cuya revaluación haya sido capitalizada, la sociedad inmobiliaria estará obligada a disminuir el capital social pagado por el importe del superávit por revaluación del inmueble vendido que haya capitalizado con anterioridad o bien, reponer esa disminución de capital con reservas de capital, con utilidades de ejercicios anteriores no distribuidas o con nuevas aportaciones, sin que ninguna de esas operaciones dé lugar a la entrega de nuevas acciones a las personas físicas o morales que participen en el capital, y
12. Independientemente de los requisitos anteriores, las sociedades inmobiliarias deberán proporcionar tanto a la Secretaría de Hacienda y Crédito Público como a la Comisión Nacional de Seguros y Fianzas, en la forma y términos que al efecto establezcan, los informes que sobre su organización, operaciones, contabilidad, inversiones o patrimonio le soliciten para fines de regulación, supervisión, inspección, vigilancia, estadística y demás funciones que conforme a las leyes, estas Reglas u otras disposiciones administrativas, les corresponda ejercer.
TRANSITORIAS
PRIMERA.- Las presentes Reglas entrarán en vigor a partir del día hábil siguiente de su publicación en el Diario Oficial de la Federación.
SEGUNDA.- En términos del presente Acuerdo se abrogan las Reglas para el Cálculo del Capital Mínimo de Garantía de las Instituciones de Seguros, publicadas en el Diario Oficial de la Federación el 30 de abril de 1997 y modificadas mediante acuerdos publicados en el Diario Oficial de la Federación el 4 de junio de 1998 y el 12 de abril de 1999, sin embargo quedan en vigor para el solo efecto de aplicar las sanciones previstas en la Ley General de Instituciones y Sociedades Mutualistas de Seguros a aquellas instituciones de seguros que no hubiesen dado debido cumplimiento a las mismas y para que los procedimientos administrativos derivados de su inobservancia se continúen hasta su conclusión.
TERCERA.- Las instituciones de seguros que en términos del artículo Décimo Noveno Transitorio del Decreto de la Ley de los Sistemas de Ahorro para el Retiro y de Reformas y Adiciones a las Leyes General de Instituciones y Sociedades Mutualistas de Seguros, para Regular las Agrupaciones Financieras, de Instituciones de Crédito, del Mercado de Valores y Federal de Protección al Consumidor, publicado en el Diario Oficial de la Federación el 23 de mayo de 1996, se encuentren autorizadas para la práctica de los seguros de pensiones, derivados de las leyes de seguridad social, y deban escindirse en un plazo que en ningún caso podrá exceder del primero de junio del año 2002, deberán mantener invertidos, en todo momento, los activos destinados a respaldar el capital mínimo de garantía de los seguros de pensiones, derivados de las leyes de seguridad social en los términos de las presentes Reglas. Durante el plazo anterior y hasta en tanto no se realice la constitución de una institución de seguros especializada, dichos activos deberán ser adicionales de aquellos que se destinen para la cobertura de las reservas técnicas, del capital mínimo de garantía y de otros pasivos, de las demás operaciones a las que se encuentre autorizada para practicar la institución de que se trate.
CUARTA.- Para el caso de aquellas instituciones de seguros que inicien operaciones y que cuenten con una experiencia propia insuficiente para calcular sus requerimientos de conformidad con lo establecido en las presentes Reglas, podrán solicitar a la Comisión Nacional de Seguros y Fianzas el considerar para los cálculos previstos de la Séptima a la Décima Cuarta de las presentes Reglas, exclusivamente los datos de su experiencia, en tanto completan la necesaria para apegarse plenamente a lo previsto en las mismas.
QUINTA.- Para efectos de la aplicación del factor medio de calificación de garantías de recuperación (
) a que se refiere la Décima Novena, inciso c), de las presentes Reglas, se aplicará un periodo de transición, conforme al siguiente procedimiento:
1) La deducción aplicable al requerimiento para la operación de reafianzamiento conforme a la Décima Novena de las presentes Reglas, será igual a la cantidad que resulte de sumar el saldo no dispuesto que reporte al cierre de cada trimestre la reserva de fianzas en vigor (SND RFV) más el resultado de multiplicar el saldo no dispuesto que reporte al cierre de cada trimestre la reserva de contingencia (SND RC) por un factor de ajuste (
), como se muestra en la siguiente fórmula:
D = SND RFV + (SND RC *
)
donde:
= µ
(1-
) +
2) La variable µ del factor de ajuste
adoptará los siguientes valores durante el periodo de transición:
| Trimestre |
Valor de µ |
1o. de enero al 31 de marzo de 1999 1o. de abril al 30 de junio de 1999 1o. de julio al 31 de agosto de 1999 1o. de septiembre al 31 de diciembre de 1999 |
1.00 0.75 0.50 0.25 |
A partir del trimestre que inicia el 1 de enero del año 2000, dejará de aplicarse el factor de ajuste
, operando de manera íntegra el procedimiento previsto en la Décima Novena de las presentes Reglas.
SEXTA.- Se otorgará a las instituciones autorizadas para la práctica de los seguros de pensiones derivados de la Leyes de Seguridad Social, un periodo de transición con duración de seis meses contado a partir del 1 de enero del 2000, para que ajusten sus sistemas de valuación del pasivo a fin de que se sujeten a lo establecido en el numeral 1 de la Octava de las presentes Reglas. Durante este periodo de transición las instituciones proyectarán su pasivo (reservas técnicas) durante N años, es decir, mientras existan obligaciones sobre su cartera de acuerdo a la siguiente fórmula:
Vn = V0 * 1.035n - SAn
donde:
(V0) = monto del pasivo correspondiente al intervalo de medición inicial, es decir a la fecha de valuación inicial.
(SAn) = siniestralidad acumulada al intervalo de medición n, considerando lo establecido en el numeral 2 de la Octava de las presentes Reglas.
SEPTIMA.- Las instituciones de seguros procederán a determinar el capital mínimo de garantía conforme a lo previsto en las presentes Reglas para el Capital Mínimo de Garantía de las Instituciones de Seguros, a partir del cuarto trimestre de 1999, excluyéndose únicamente dentro del requerimiento exigible para las instituciones que operan seguros de pensiones, derivados de las leyes de seguridad social, el requerimiento de capital por descalce entre activos y pasivos (DAC), así como sus deducciones, contenidos en la Octava e inciso b) de la Décima Novena de las Presentes Reglas, respectivamente, mismos que se empezarán a determinar a partir del primer trimestre del 2000.
OCTAVA.- Las disposiciones administrativas emitidas con anterioridad a la fecha de entrada en vigor de estas Reglas, se seguirán aplicando en tanto no se opongan a lo dispuesto en las mismas.
Atentamente
Sufragio Efectivo. No Reelección.
La presentes Reglas se expiden en México, Distrito Federal, a los veintidós días del mes de diciembre de mil novecientos noventa y nueve.- En ausencia del C. Secretario y de conformidad con el artículo 105 del Reglamento Interior de la Secretaría de Hacienda y Crédito Público, el Subsecretario de Hacienda y Crédito Público, Martín Werner.- Rúbrica.